• tg
  • ru

Категорияҳо

  • Картон ва аниматсия
  • танз ва комедия
  • Таҳсилот ва ёдгирӣ
  • Бозӣ ва саргармӣ
  • Филм, сериал ва мустанад
  • мазҳабӣ
  • Мусиқӣ
  • Хабарӣ
  • Қонун ва сиёсат
  • Фанноварӣ ва компютер
  • Саёҳат ва гардишгарӣ
  • Ҳайвонот
  • Касб ва кор
  • Фарҳанг ва ҳунар
  • Стил ва мӯд
  • Саломатӣ ва тандурустӣ
  • Ғизо ва нӯшокӣ
  • Худро ва воситаҳои нақлиётӣ
  • Кӯдак ва оила
  • хона ва зиндагӣ
  • Муҳити зист
  • молиявӣ ва иқтисодӣ
  • Иҷтимоӣ
  • Илмҳои асосӣ
  • Кишоварзӣ ва боғдорӣ

Alirezakhanchezar

1:03:53
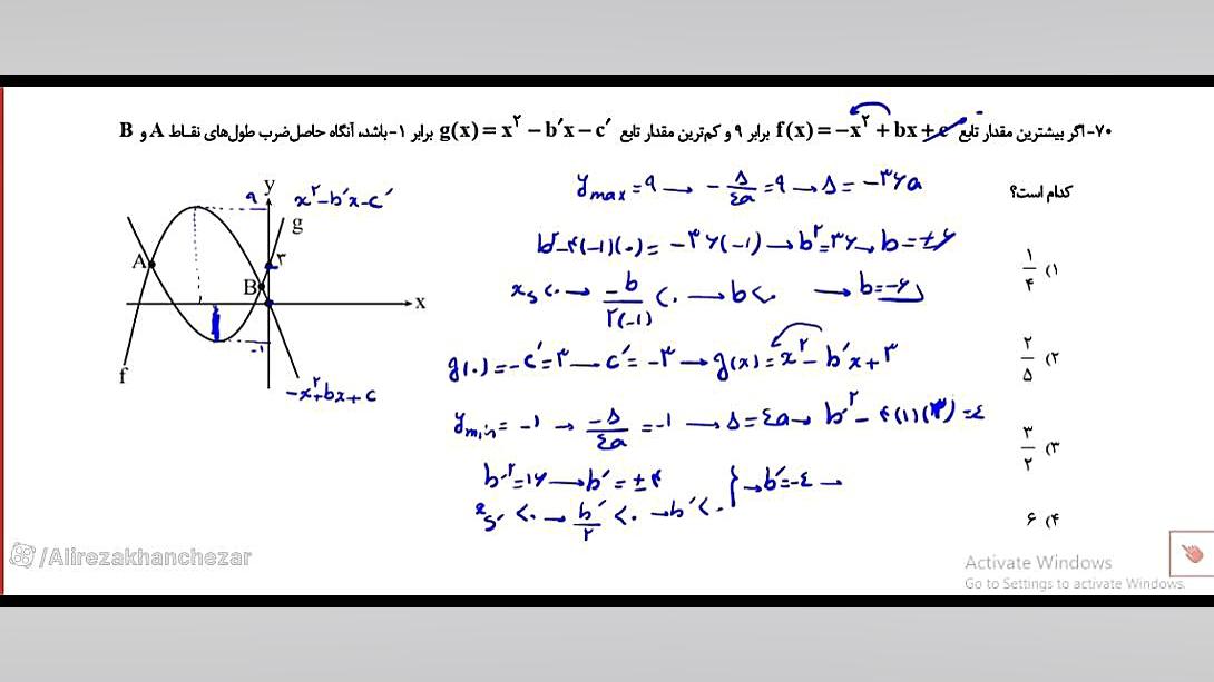
Ҳалли саволҳои имтиҳони Қаламчи синфи 12, 4 ноябри 1403
Alirezakhanchezar
37.9 ҳазор Боздид 11 моҳ пеш