• tg
  • ru

Категорияҳо

  • Картон ва аниматсия
  • танз ва комедия
  • Таҳсилот ва ёдгирӣ
  • Бозӣ ва саргармӣ
  • Филм, сериал ва мустанад
  • мазҳабӣ
  • category.name.aparat_music
  • Хабарӣ
  • Қонун ва сиёсат
  • Фанноварӣ ва компютер
  • Саёҳат ва гардишгарӣ
  • Ҳайвонот
  • Касб ва кор
  • Фарҳанг ва ҳунар
  • Стил ва мӯд
  • Саломатӣ ва тандурустӣ
  • Ғизо ва нӯшокӣ
  • Худро ва воситаҳои нақлиётӣ
  • Кӯдак ва оила
  • хона ва зиндагӣ
  • Муҳити зист
  • молиявӣ ва иқтисодӣ
  • Иҷтимоӣ
  • Илмҳои асосӣ
  • Кишоварзӣ ва боғдорӣ

physicstaji

12:17
Ду аксро якҷо гузоред ва видеои оғӯш кардани ҳамдигарро гиред
physicstaji
25.9 ҳазор Боздид 10 моҳ пеш
24:40
Таълими ҳисоби нерӯи барқи бароянда ба зарраи бордор
physicstaji
53.9 ҳазор Боздид 1 сол пеш
14:51
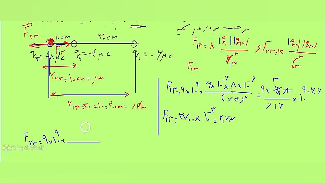
Ҳал кардани масъалаҳои қувваи барқӣ байни зарраҳои заряднок. Масъалаҳои омехта ва махсус
physicstaji
32.8 ҳазор Боздид 1 сол пеш
19:14
Қонуни Кулон, қувваи электрӣ байни борҳо, фасли якуми физикаи синфи ёздаҳум
physicstaji
93.7 ҳазор Боздид 1 сол пеш
29:20
Дарси зичӣ: Боби аввал физикаи синфи 10, қоидаҳои ҷойгиркунӣ ва шаклдор ва номҳои ковок
physicstaji
98.5 ҳазор Боздид 1 сол пеш
18:45
Дарси табдили занҷираи физикаи синфи 10
physicstaji
531 Боздид 1 сол пеш
21:16
Таълими табдили занҷираи физикаи синфи 10 бидуни пешванд
physicstaji
18.4 ҳазор Боздид 1 сол пеш