training_1
78.2 ҳазор Боздид 1 сол пеш

Омӯзиши физика ба забони осон ва фаҳмо! Дар дарси ҳаштуми физика мо ба шумо ҳамаи мафҳумҳои асосиро мефаҳмонем. Барои фаҳмиши беҳтари физика, аз дарсҳо бо мо ҳамроҳ шавед!

SchoolofPhysics
63.4 ҳазор Боздид 1 сол пеш

Дар ин видео мо ба шумо дар бораи маърӯзаи умумии физика дар пажӯҳишгоҳи физика нақл мекунем. Маълумоти ҷолиб ва муфид барои ҳамаи дӯстдорони илм! Биёед ва бо мо шинос шавед, то дар бораи ҳақиқатҳо ва кашфиётҳои нав дар соҳаи физика маълумот гиред.

Olum_sadeghi
70 ҳазор Боздид 1 сол пеш

Дар ин видео мо масъалаҳои зичиро таҳлил мекунем ва роҳҳои ҳалли онҳоро меомӯзем. Агар мехоҳед дониши худро дар бораи зичӣ ва физика баланд бардоред, ин видео барои шумост! Худи ҳозир тамошо кунед ва саволҳои худро дар шарҳҳо гузоред.

physicstaji
32.8 ҳазор Боздид 1 сол пеш

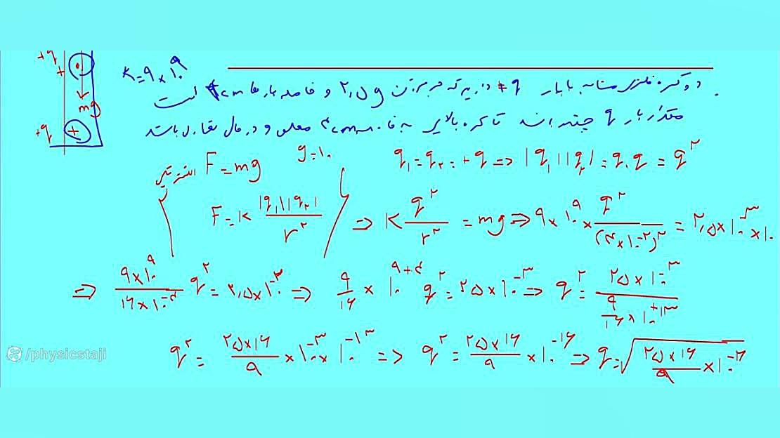
Дар ин видео мо ба шумо нишон медиҳем, ки чӣ гуна масъалаҳои қувваи барқӣ байни зарраҳои заряднокро ҳал кунед. Мо масъалаҳои омехта ва махсусро баррасӣ мекунем, ки ба шумо дар фаҳмиши амиқи ин мавзӯъ кӯмак мерасонад. Барои фаҳмидани қадам ба қадам ва усулҳои ба осонӣ даркшаванда, ин видеоро аз даст надиҳед!

physicsss11
68.8 ҳазор Боздид 1 сол пеш

Биёед бо устоди физика Фарид Шаҳриёри вохӯрем, ки дар барномаи 90 омӯзишӣ бо худ таҷриба ва донишҳои беназир мебарад. Агар шумо мехоҳед фаҳмишҳои нав дар соҳаи физика дошта бошед, ин барнома барои шумост! Дар ин барнома, мо дар бораи методҳои омӯзишии замонавӣ ва равишҳои нави таҳқиқоти физика меомӯзем.

SamanJalaliFarahani
61.2 ҳазор Боздид 1 сол пеш

Ҳисобҳои физикӣ ва таҷрибадориро дар қисми аввал аз фасли дуюми физикаи синфи 10 омӯзед. Ин видеои омӯзишӣ барои хонандагони риштаи математика-физика ва таҷрибавӣ комилан мувофиқ аст. Иштирок кунед ва ба хешони худ фаҳмонед, ки чӣ гуна аз физика баҳра баред!

GeoFizik_teach
58 ҳазор Боздид 1 сол пеш

Мехоҳед дар физикаи илмҳои таҷрибавӣ муваффақ бошед? Бо ин видеои мо, шумо метавонед фаслҳои 4, 5, 8 ва 9-ро ба осонӣ азхуд кунед. Барои бештар фаҳмидани қоидаҳои физика ва беҳтар намудани дониши худ, ин видеоро тамошо кунед!

Modaberan.Danesh
56.7 ҳазор Боздид 1 сол пеш

Бо устод Муҳаммадӣ аз дунёи физика лаззат баред! Дар ин видео, мо ба таври сода ва фаҳмо ба ҳама чизҳои ҷолиби физика назар меандозем. Аз фаҳмиши асосҳо то кашфиётҳои навтарин, ин видео барои ҳар як донишҷӯ ва алоқамандон ба физика аст! Биёед ва ба мо ҳамроҳ шавед!

riazi_aslani
46.6 ҳазор Боздид 1 сол пеш

Ин видеои мо баррасии пурраи имтиҳони Қаламчии синфи 12 барои дарси физика мебошад, ки рӯзи 18 ноябр баргузор шуд. Барои донишҷӯёни фанҳои риёзӣ ва физика, ин таҳлил воситаи беҳтарин барои фаҳмидани мавзӯъҳои душвор ва омодагӣ ба имтиҳонҳои оянда аст. Ба канали мо обуна шавед, то дар бораи дигар таҳлилҳои дарсӣ ва маслиҳатҳои муфид бештар маълумот гиред!

Payamh1
15.5 ҳазор Боздид 1 сол пеш

Дар ин видео мо ба қисми дуюми фасли дуюми физика барои синфи ҳафтум сар мекунем. Бо мо бимонед, то ҳама чизро дар бораи қонунҳои физика ва таҷрибаҳои ҷолиб омӯзед. Ин видео ба шумо кӯмак мекунад, ки дарсҳои худро осонтар фаҳмед ва ба саволҳои душвори имтиҳонӣ ҷавоб диҳед.

pjilam97
4.8 ҳазор Боздид 1 сол пеш

Биёед ба видеоуроки ҷолиби физика назар андозем, ки дар он соатҳои ҷолиб дар лабораторияи физика гузаронида мешаванд. Ин вебинар ба шумо имкон медиҳад, ки таҷрибаҳои шавқоварро бубинед ва аз донишҳои нав баҳра баред. Ба мо ҳамроҳ шавед ва аз ҷаҳони физика лаззат баред!

khoroushi
70.6 ҳазор Боздид 1 сол пеш

Дар ин видеои нав, мо ба таҳлили машваратии физика ва кимиё бар асоси санҷишҳои Қаламчӣ барои рӯйзахи 18 ноябри 1403 мепардозем. Аз усулҳои беҳтарини омодагӣ ба ин фанҳо огоҳ шавед ва ба натиҷаҳои беҳтарин дар имтиҳонҳо расед. Бо мо ҳамроҳ бошед, то ба фаҳмиши амиқтари масъалаҳои физика ва кимиё даст ёбед!

Haghgooyan_Physic
16.5 ҳазор Боздид 1 сол пеш

Дар ин видео мо ба таҳлили пурраи дарси физика барои синфи 12-ум аз имтиҳони Gaj 4 ноябр 1403 мебарем. Дар қисми сеюм, мо ба масъалаҳои душвортарини имтиҳон ва роҳҳои ҳалли онҳо диққат медиҳем. Агар шумо мехоҳед бо роҳҳои тез ва осон ба саволҳои физика ҷавоб диҳед, ин видеоро тамошо кунед!

darsera.ir
82.1 ҳазор Боздид 1 сол пеш

Бачаҳо, имрӯз мо таҳлили пурраи имтиҳони Қалами Чӣ-ро барои 4 ноябр дарс медиҳем. Агар шумо дар синфи ёздаҳум бошед ва мехоҳед ба физикаи пешқадам ноил шавед, ин видеоро аз даст надиҳед! Мо бо шумо тамоми масъалаҳои муҳимро баррасӣ мекунем ва ба шумо нишон медиҳем, ки чӣ гуна ба онҳо дуруст ҷавоб додан лозим аст. Ҳамаи чизҳое, ки барои муваффақият дар имтиҳон зарур аст, дар инҷост!

SamanJalaliFarahani
58.9 ҳазор Боздид 1 сол пеш

Ҳар кӣ мехоҳад ба физикаи синфи 12 даст ёбад, ин видео барои шумо аст! Мо масъалаҳои хотимавии фасли аввалро баррасӣ мекунем, ки ба риштаҳои риёзи-физика ва таҷрибӣ дахл доранд. Ин видеоро тамошо кунед ва ба комёбиҳои нав расед!

Amirani09121236194
49.7 ҳазор Боздид 1 сол пеш

Дар ин видео, мо масъалаҳои физикаи синфи 12-ро аз интихоботи 11 моҳи Обон баррасӣ мекунем. Интихоботи 11 моҳ ба шумо кӯмак мекунад, ки ба фикр ва дониши бештар дар бораи мавзӯъҳои муҳими физика расед. Агар шумо ҳам мехоҳед, ки дар имтиҳонҳо муваффақ шавед ва ба саволҳои душвор ҷавоб диҳед, ин видеоро тамошо кунед!

madani_physics
99.9 ҳазор Боздид 1 сол пеш

Дар ин видео мо машқҳои 1 то 5-и китоби дарсии физикаи синфи 12-ро ҳал мекунем. Агар шумо ҳамеша дар назари аввал бо физика дучор шуда бошед ва ҷустуҷӯи роҳҳои осон ва фаҳмо барои фаҳмидани мавзӯъҳои душворро дошта бошед, пас ин видео барои шумо аст. Барои шинос шудан бо равишҳои нав дар омӯзиши физика, ҳамроҳ шавед.

ghasemieasymath
98 ҳазор Боздид 1 сол пеш

Дар ин видео, мо машқҳои 17 то 19 аз фасли якуми китоби физикаи синфи даҳумро ҳал мекунем. Агар ба шумо дарси физика душвор бошад ё ба маслиҳатҳо ва ҳалли машқҳо ниёз дошта бошед, ин видео барои шумост. Ҳар як қадамро бо тавзеҳҳои равшан ва осон пайравӣ мекунем, то шумо бо боварӣ ба имтиҳонҳо омода шавед. Бо мо бошед, то дарсҳои физикаро бо осонӣ фаҳмед.

BME_Ssa_srb
97.7 ҳазор Боздид 1 сол пеш

Ин видеои дарсӣ барои донишҷӯён ва касоне, ки мехоҳанд машқҳои физикаи умумӣ 1-ро беҳтар фаҳманд, пешниҳод мешавад. Ин ҷо мо бо забони содда ва фаҳмо машқҳоро ҳал мекунем ва ба шумо кӯмак мекунем, ки ба саволҳои душвор ҷавоб диҳед. Агар шумо ҳамеша мехостед дар физика беҳтар фаҳмед, ин видео барои шумост!

YahyaviPhysics
95.3 ҳазор Боздид 1 сол пеш

Дар ин видео, мо ба шумо аввалин мулоқоти курси Рестарти физика барои Конкури 1404-ро пешниҳод мекунем. Агар шумо мехоҳед ба Конкури соли 1404 омодагӣ бинед ва дар фанни физика муваффақ шавед, ин видеоро тамошо кунед ва ба канали мо обуна шавед. Мо бо шумо тамоми маслиҳатҳои муфид ва усулҳои муосири омӯзиширо тақсим мекунем!