flymathclub
93.7 ҳазор Боздид 11 моҳ пеш

Дар ин видео, мо ба шумо нишон медиҳем, ки чӣ тавр корҳои синфӣ ва машқҳои китоби риёзӣ барои синфи 10 фасли 2 қисми 2-ро ҳал кунед. Ин риёзӣ осон нест, аммо бо мо ҳамроҳ шавед, то ҳама чизро фаҳмед ва ба сатҳи навбатӣ гузаред. Мо маслиҳатҳо ва тавсияҳои беҳтаринро пешниҳод мекунем, ки ба шумо дар фаҳмидани мавзӯъҳо кӯмак мекунанд ва натиҷаҳои хуб ба даст меоред.

Drland_com
87.4 ҳазор Боздид 1 сол пеш

Дар ин видео, мо ба шарҳ ва таҳлили тестҳои такроршавандаи синфи даҳум, ки барои синфи дувоздаҳум муҳими калон доранд, мепардозем. Ин тестҳо ба имтиҳонҳои 3 ва 4 ноябр вобастаанд ва барои беҳтар омӯхтани мавзӯҳо кӯмак мерасонанд. Ҳар як саволро бо диққат меомӯзем ва ҷавобҳоро бо шарҳи муфассал пешниҳод мекунем. Ба канал обуна шавед, то аз охирин навсозиҳои мо хабар гиред!

omidsalmanimath
17.9 ҳазор Боздид 11 моҳ пеш

Хай, дӯстони азиз! Дар ин видео мо ба синфи тайёрии Қаламчӣ барои синфи 12 меравем ва функсияи баръаксро меомӯзем. Агар мехоҳед ба муваффақиятҳои бузург дар имтиҳонҳо ноил шавед, пас ин видео барои шумо аст. Биёед якҷоя ба ин мавзӯъ назар андозем ва ин функсияи ҷолибро фаҳмем. Бо мо бимонед ва фаромӯш накунед, ки ба видео лайк гузоред ва обуна шавед!

BevisTeach
94.7 ҳазор Боздид 11 моҳ пеш

Дар ин видео мо тарзи ҳал кардани муодилаҳои риёзиро меомӯзем. Агар шумо дар синфи 7, 8 ё 9 мехонед ва мехоҳед дар риёзиёт беҳтар шавед, ин видеоро аз даст надиҳед! Мо қадам ба қадам роҳи ҳалро ба шумо нишон медиҳем.

Kuonkoor_sadobist
78.2 ҳазор Боздид 11 моҳ пеш

Мехоҳед дарси риёзии синфи 10-ро ба осонӣ омӯзед? Саҳифаи 7-и китобро бо мо қадам ба қадам омӯзед. Мо бо шарҳи содда ва фаҳмо кӯмак мекунем, то ҳамаи масъалаҳои мураккаби риёзиро ба осонӣ ҳал кунед. Пас, видеои моро тамошо кунед ва ба синфи боло гузаред!

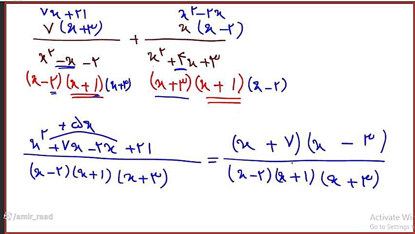
amir_raad
71.4 ҳазор Боздид 10 моҳ пеш

Дар ин видео, мо вазифаҳоро аз саҳифаи 66, фасли 4, ки дар бораи қувват ва реша мебошад, баррасӣ мекунем. Ин мавзӯъҳои муҳими синфи 9-ро бо шарҳҳои осонфаҳм ва тавзеҳоти мукаммал фаро мегирад. Бифаҳмед, ки чӣ тавр мисолҳои мураккабро ҳал кардан мумкин аст ва дарсҳоро аз худ кардан тавонед. Ҳамаи маълумотро гиред, ки барои муваффақият дар имтиҳонҳои наздик кӯмак мекунад!

physicsss11
52.8 ҳазор Боздид 9 моҳ пеш

Ҳоло замони он расидааст, ки бо синфи онлайни илмҳои синфи ҳафтум Карномаи Хирад омӯзиши худро ба як зинаи нав баред! Ин синф барои ҳамаи донишҷӯёни кунҷков ва доништалаб, ки мехоҳанд фаҳмиши амиқтар дар илмҳои табиатӣ пайдо кунанд, комил аст. Дар ин синф, бо мутахассисони сатҳи баланд кор кунед ва саволу ҷавобҳои худро ҳал кунед. Ба мо ҳамроҳ шавед ва барои ояндаи худ сармоягузорӣ кунед!

sohrab_sadeghizadeh
47.5 ҳазор Боздид 11 моҳ пеш

Ҷустуҷӯ мекунед барои дарси навбатии химияи синфи даҳум? Ин ҷо мо ба шумо дарси бистуми синфи солонаро пешниҳод мекунем! Дар ин видео мо мавзӯъҳои муҳим ва амалии химияро бо забони осон ва фаҳмо шарҳ медиҳем. Ҳар касе, ки мехоҳад дар химия пешрафт кунад, ин видео барояш як кӯмак аст. Маълумоти муфидро аз даст надиҳед!

computerteacher
33.6 ҳазор Боздид 9 моҳ пеш

Дар ин видео мо ба шумо нишон медиҳем, ки чӣ тавр дар С# бо синфи массив кор кунед ва усули ҷустуҷӯи хаттиро истифода баред. Аз фаҳмиши асосӣ оғоз мекунем ва ба маслиҳатҳои пешрафта мегузарем, то ки шумо дар барномасозӣ устувор шавед. Агар дар пайи беҳтар намудани малакаҳои барномасозӣ бошед, ин видео барои шумост!

bestschool
31.6 ҳазор Боздид 2 моҳ пеш

Мехоҳед дар физикаи синфи даҳум устувор шавед? Ҳоло беҳтарин синфи онлайнии физикаро пайравӣ кунед! Омӯзиши осон ва фаҳмост барои ҳар як донишҷӯ. Дарсҳои мо бо роҳҳои ҷолиб ва фаҳмо пешниҳод карда мешаванд. Ин фурсатро аз даст надиҳед ва ба омӯзиши физика оғоз кунед!

Hadi.gholianaval
97.4 ҳазор Боздид 11 моҳ пеш

Бачаҳо, ҳама чиз барои имтиҳони охирини синфи 12 тайёр аст? Дар ин видео, мо ҷавобҳои машқҳои синфии саҳифаи 20 китоби математика ва оморро якҷоя мебинем. Ин фурсатро аз даст надиҳед, то ба саволҳои худ ҷавоб пайдо кунед ва дарсҳоро беҳтар фаҳмед. Ҳамаи ин ба шумо кӯмак мекунад, ки ба натиҷаҳои беҳтарин дар имтиҳонҳои худ бирасед!

Kuonkoor_sadobist
94.1 ҳазор Боздид 11 моҳ пеш

Дар ин видео, мо қадам ба қадам масъалаҳои саҳифаи 5 аз китоби математикаи синфи 10-ро баррасӣ мекунем. Бо мо бошед, то ҳар як масъалаи душворро бо осонӣ ҳал кунем. Ин видео ба шумо кӯмак мекунад, ки дарсҳоро беҳтар фаҳмед ва дар имтиҳонҳо комёб шавед!

math.bagherifard09173813824
90.9 ҳазор Боздид 11 моҳ пеш

Дар ин видео мо саҳифаи 33 аз китоби риёзии синфи шашумро шарҳ медиҳем. Ин барои ҳамаи хонандагони синфи шашум як маводи муҳим аст. Агар шумо мехоҳед дар риёзӣ қавӣ шавед ва саволҳои душворро ҳал кунед, ин видеоро тамошо кунед. Мо бо шеваи фаҳмо ва содда ба шумо роҳҳои ҳалро меомӯзем.

ashiandars
90.1 ҳазор Боздид 11 моҳ пеш

Салом бародарон ва хоҳарони гиромӣ! Дар ин видео, мо саҳифа 35-и китобҳои риёзии синфи 7-ро меомӯзем. Фасли 3-ро бо ҳам дида мебароем ва ҳамаи масъалаҳоро бо шарҳи оддӣ ҳал мекунем. Ҳамаи шубҳаҳоятонро рафъ мекунем ва дарси риёзиро ба шумо осон мегардонем. Қисми 3-и риёзии синфи 7-ро бо мо омӯзед ва ба саволҳоятон ҷавоб ёбед! Видеоро тамошо кунед ва обуна шавед, то ки ба дарсҳои навбатӣ ҳамроҳ шавед!

Codity
84.1 ҳазор Боздид 8 моҳ пеш

Дар ин видео мо синфи Range-ро дар Python таҳлил мекунем ва тарзи истифодаи онро меомӯзем. Агар шумо мехоҳед дар барномасозӣ бо Python усто шавед, ин видео барои шумост! Бубинед, ки чӣ тавр мо аз синфи Range дар барномаҳо истифода мебарем ва чӣ гуна ба барномаҳои худ қувват бахшем. Ҳатман то охир тамошо кунед!

GhorbaniiEDU
81.3 ҳазор Боздид 1 сол пеш

Дар ин видеои ҷолиб, мо дарсҳои физикаи синфи дувоздаҳумро бо Муҳандис Ҳусейн Қурбонӣ идома медиҳем. Дарси 7 аз фасли 2 барои омӯзиши машқ ва тест таҳлили қувваҳо бахшида шудааст. Омӯзиши ин мавзӯъҳо ба шумо ёрӣ медиҳад, ки дар имтиҳонҳо муваффақ шавед. Ба мо ҳамроҳ шавед ва фаҳмиши амиқи физикаи синфи дувоздаҳумро ба даст оред!

math.bagherifard09173813824
81 ҳазор Боздид 10 моҳ пеш

Мехоҳед дар риёзии синфи шашум беҳтар шавед? Дар ин видео мо саҳифаи 65-ро аз китоби риёзии синфи шашум бо тарзи осон ва равшан шарҳ медиҳем. Боқерӣ Фард ба шумо роҳҳои ҳалли масъалаҳоро нишон медиҳад ва ба саволҳои маъмул ҷавоб медиҳад. Ҳоло тамошо кунед ва дарси худро ба таври осон бифаҳмед!

amir_raad
71.5 ҳазор Боздид 10 моҳ пеш

Дар ин видео, мо ба саҳифаи 121 аз фасли 7 дар китоби синфи 9 назар мекунем ва дар бораи ибораҳои гӯё маълумот медиҳем. Агар шумо мехоҳед дарсҳои худро дарк кунед ва ба саволҳоятон ҷавоб гиред, пас ин видеоро тамошо кунед. Инчунин, агар шумо ягон савол дошта бошед, дар шарҳҳо бо мо дар тамос бошед.

Shimi_kiani
71.2 ҳазор Боздид 11 моҳ пеш

Агар ба таҳлили имтиҳонҳои онлайни ҷаласаи чорум барои синфи ёздаҳум манфиатдоред, ин видео бароятон беҳтарин имконият аст! Дар ин ҷо мо ҳама саволҳои муҳимро баррасӣ мекунем ва шуморо бо мундариҷаи нозуки синфи ёздаҳум шинос мекунем. Қисмҳои душворро бо усулҳои содда шарҳ медиҳем, то ба шумо дар фаҳмидани мавзӯъҳо кӯмак расонем.

Fereshteh.riazi
70.1 ҳазор Боздид 1 сол пеш

Биёед дарси синфии саҳифаи 29 аз китобҳои риёзии синфи 9-ро бо Фариштаи риёзӣ омӯзем. Ин видео ба шумо кӯмак мекунад, ки мушкилоти риёзиро осонтар ҳал кунед ва ба саволҳои мураккаб ҷавоб диҳед. Ҳоло тамошо кунед ва ба дониши худ афзуд кунед!