Дар ин видео мо санҷиши амалии Павер Пойнтро бо ҳалли саволҳо таълим медиҳем. Агар мехоҳед ки дар кори худ бо Павер Пойнт беҳтар шавед, ин видеоро тамошо кунед. Ҳамаи саволҳои шумо дар ин ҷо посух дода мешаванд!
Ба ҳама донишҷӯён! Дар ин видео, мо намунаи саволҳои имтиҳонии фасли дуюмро ҳал мекунем. Омодагӣ ба имтиҳонҳоро бо мо осон кунед ва ба саволҳо ҷавобҳои дуруст диҳед. Агар шумо ҳамеша мехостед дарк кунед, ки чӣ гуна саволҳои имтиҳонӣ омода мешаванд, ин видеоро аз даст надиҳед!
Мехоҳед дар математикаи синфи ҳафт босуръат пеш равед? Дар ин видео, мо ба шумо ҳалли пурраи корбарги фасли якум ва дуюмро нишон медиҳем. Дар ин ҷо шумо метавонед роҳҳои осон ва самараноки ҳалли мисолҳоро омӯзед. Ин видеоро аз даст надиҳед, то ки ба ҳама саволҳо ҷавоб ёбед.
Дар ин видео, мо ба ҳалли масъалаи чор марҳилаи дуюм қисми дуюм мепардозем. Биёед якҷоя омӯзем ва роҳҳои осон барои ҳалли ин масъалаҳоро дарёфт кунем. Ин видеоро тамошо кунед ва ба саволҳое, ки шояд дар бораи ин мавзӯъ доред, ҷавоб ёбед.
Дар ин видео, ман мушкилоти табдили Фантом ба Соникро муҳокима мекунам ва беҳтарин роҳҳои ҳалли мавҷударо пешкаш мекунам. Агар шумо низ бо ин проблема рӯ ба рӯ шавед, ин видео барои шумо аст! Ҳамаи роҳҳои ҳалли охирини актуалиро бубинед.
Дар ин видео мо ба ҳалли машқҳои саҳифаи 33 аз китоби математикаи синфи 7 мепардозем. Агар шумо ҳам дар ҳалли ин машқҳо мушкилӣ дошта бошед, пас ин видео барои шумост! Биёед якҷоя ба ин масъалаҳо назар андозем ва роҳҳои осонтарини ҳалли онҳоро ёд гирем.
Дар ин видео, мо ба шумо роҳи ҳалли машқҳои саҳифаҳои 39 ва 40 иловагӣ барои синфи ҳаштумро пешниҳод мекунем. Агар шумо ҳамеша дар ҳалли ин машқҳо мушкилӣ доред, ин видео ба шумо кӯмак мекунад, ки бо осонӣ ва бофаҳм онро дарк кунед. Ҳар қадами ҳалли машқҳо бо тавзеҳоти аниқ ва фаҳмиданӣ пешниҳод карда шудааст. Барои гирифтани беҳтарин натиҷаҳо, ин видеоро то охир тамошо кунед.
Ҳар як саволи саҳифаи 29 аз китоби риёзии синфи панҷумро бо тамоми тафсилот ҳалли мекунем ва шарҳ медиҳем. Агар мехоҳед дарсҳоро бе мушкилӣ фаҳмед, ин видеоро тамошо кунед. Аз аввал то охир ҳамроҳ бошед, то ҳама нуктаҳои муҳимро аз даст надиҳед!
Мо ҳамаи тамринҳои саҳифаи 31 аз китоби риёзии синфи панҷумро ҳал карда, шарҳ медиҳем. Аз ин видео истифода баред то дарки беҳтаре аз мавзӯъ дошта бошед. Ба саволҳои душвор посух ёбед ва дарси риёзиро бо осонӣ дарк кунед!
Дар ин видео мо саволҳои имтиҳони амалӣ ICDL дар Access-ро ҳал мекунем. Агар шумо мехоҳед дар имтиҳони ICDL муваффақ шавед, ин видео барои шумо аст! Ба мо ҳамроҳ шавед ва ба саволҳо бо мо ҷавоб диҳед. Аз ин фурсат истифода баред, то малакаҳои худро тақвият диҳед ва дар Access қавӣ бошед.
Агар дарсҳои математикаи синфи 11 шуморо ба ҳайрат оварда бошанд, ин видео барои шумост! Мо намунаи саволҳои модули якумро, ки ба функсия ва диапазон марбутанд, ҳал мекунем. Дар ин ҷо шумо роҳҳои осон ва фаҳмондадиҳии равшанро хоҳед ёфт, ки ба шумо кӯмак мекунад беҳтарин натиҷаҳоро ба даст оред. Ҳамроҳ бошед ва омӯзед, ки чӣ тавр мушкилотро бе ташвиш ҳал кунед!
Дар ин видео, мо саволҳои намунавии математикаи синфи 9 аз фасли аввалро ҳал мекунем. Биёед ба якҷоягӣ гуногунии маҷмӯаҳо ва роҳҳои ҳалли онҳоро омӯзем. Агар шумо мехоҳед дар имтиҳонҳо муваффақ шавед, ин видео барои шумо аст!
Салом ба ҳама! Дар ин видео мо ба шумо роҳи ҳалли саволҳои математикаи синфи дувоздаҳуми таҷрибиро аз озмуни 4 ноябри Қаламчӣ нишон медиҳем. Агар мехоҳед ба имтиҳонҳоятон омода бошед, ин видеоро то охир тамошо кунед. Интиқоли дониш ва муваффақият дар имтиҳонҳо бо мо осон аст!
Омодагӣ ба имтиҳонҳои математикаи синфи 7 бо ҳалли саволҳои фасли 1. Агар мехоҳед ки дар синф баҳои аъло гиред, ин видеоро тамошо кунед! Мо шуморо бо роҳи осон ва фаҳмо раҳнамоӣ мекунем.
Биёед якҷоя ба ҳалли саволҳои имтиҳони ниҳоии риёзии умумӣ 1 назар андозем! Дар ин қисми дуюм, мо ба шумо роҳҳои осон ва фаҳмо барои ҳал кардани масъалаҳои мушкилро нишон медиҳем. Агар шумо ҳамеша бо риёзӣ душворӣ мекашед, пас ин видео барои шумо аст! Бе чорта, тамошо кунед ва бо мо омода шавед!
Дӯстони азиз! Дар ин видео мо саволҳои охири фасли якуми физикаи синфи 12-ро баррасӣ мекунем. Қисми чорумро аз даст надиҳед, ки дар он мо бо усулҳои осону фаҳмо ба ҳалли масъалаҳои мураккаб мепардозем. Барои дарки беҳтари мавзӯъ ва омодагӣ ба имтиҳон, бо мо бошед ва ҳама саволҳоятонро дар шарҳҳо нависед!
Мехоҳед дар риёзии синфи 9 беҳтарин шавед? Бо мо бошед, то намунаи саволҳои фасли дуюмро омӯхта, ҳалли онҳоро ёд гиред! Аз фаҳмидани мавзӯъҳои душвор то омодагии комил барои имтиҳонҳо. Ин видеоро аз даст надиҳед!
Дар ин видео, мо ба шумо роҳи осони ҳалли саволҳои намунавии дарси 1 забони синфи 9-ро нишон медиҳем. Бо мо бимонед то таълими босифатро аз даст надиҳед ва дарсро бо беҳтарин натиҷаҳо ба анҷом расонед. Барои гирифтани маслиҳатҳои бештар ва роҳнамоиҳо сабт шавед.
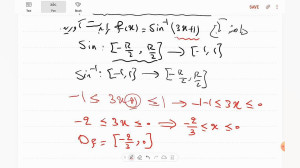
Дар ин видео, мо ба таҳлили саволҳои функсионалӣ аз китоби маъруфи Стюарт мепардозем. Барои ҳар як савол мо ба таври муфассал роҳҳои ҳалли осон ва тавсияҳои амалиро пешниҳод мекунем. Ин як имконияти беҳамто барои фаҳмиши амиқтари функсияҳо ва омодагӣ ба имтиҳонҳо аст!
Дар ин видео, мо ба шумо тарзи ҳалли машқҳои математикӣ дар синфи ҳафтро нишон медиҳем. Бо мо ҳамроҳ шавед, то ки ҳар саволро ба соддагӣ ҳал кунед ва дарсҳои зебои математикаро фаҳмед. Мо ба шумо тамоми қадамҳои заруриро нишон медиҳем, то ки барои ҳама гуна санҷиш омода шавед!
 
            
        
                     
            
        
                     
            
        
                     
            
        
                     
            
        
                     
            
        
                     
            
        
                     
            
        
                     
            
        
                     
            
        
                     
            
        
                     
            
        
                     
            
        
                     
            
        
                     
            
        
                     
            
        
                     
            
        
                     
            
        
                     
            
        
                    