SajjadFreelance
96.3 ҳазор Боздид 11 моҳ пеш

Дар ин видео мо ба шумо нишон медиҳем, ки чӣ гуна матритсаи баръаксро бо истифода аз роҳи матритсаи иловагӣ ҳисоб мекунем. Бо мо ҳамроҳ шавед, то ин методи математикаро осон ва бе мушкилот азхуд намоед!

iranhelicam
81.4 ҳазор Боздид 5 сол пеш

Мо имрӯз як шарҳи тоза ва махсус барои Матритса 300 RTK дорем! Агар мехоҳӣ фаҳми ки ин дрона барои чи корҳо истифода мешавад, чӣ плюсҳо дорад ва чаро ҳозир ҳама аз ин гап мезананд — ҳамин видеоро аз даст надеҳ! Комментария мон, саволҳоятро бипурс ва подписка кун, то роликҳои круттаро аз даст надиҳӣ.

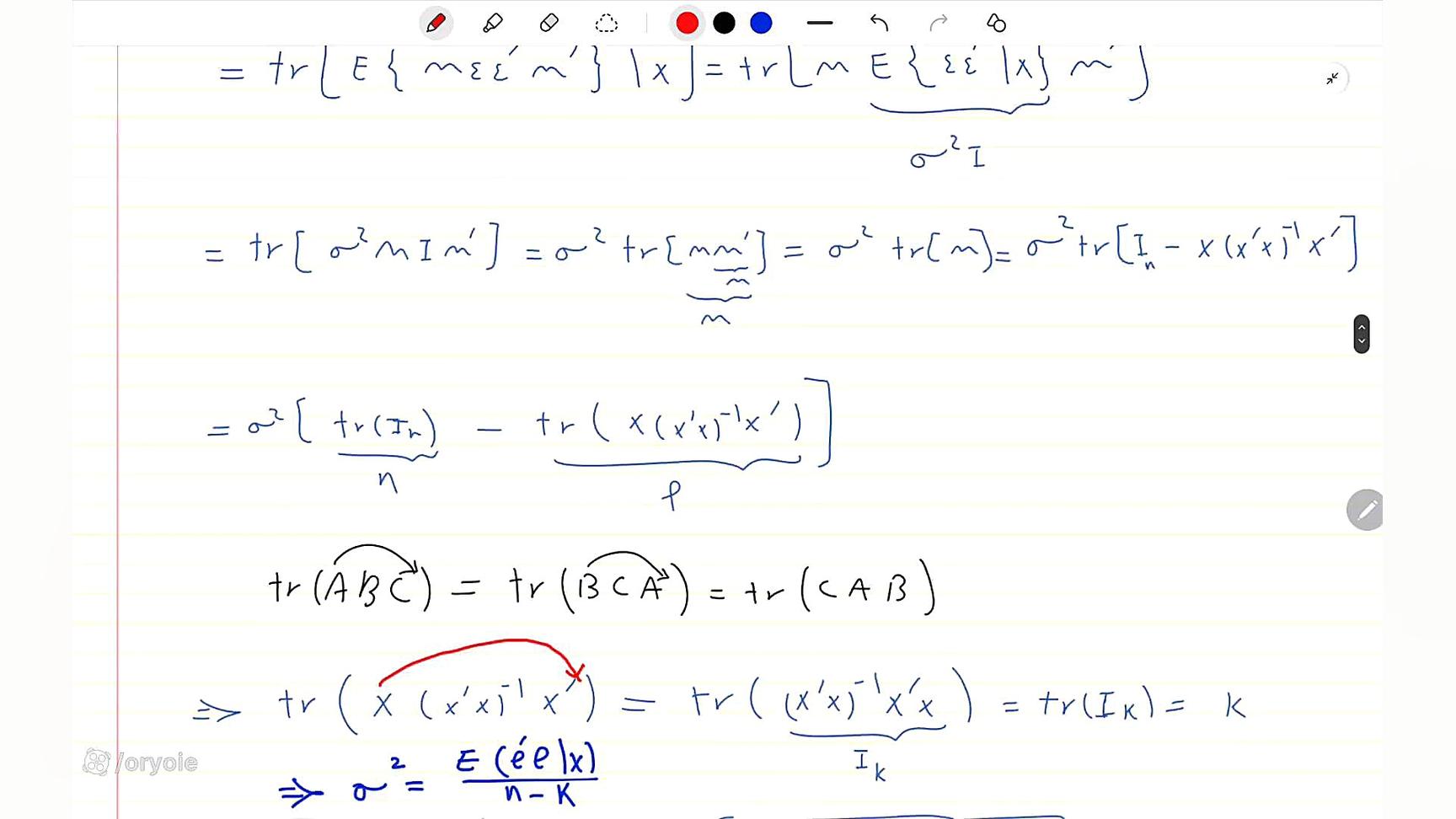
oryoie
59.4 ҳазор Боздид 1 сол пеш

Дар ин дарс мо ба шумо усули ҳадди ақали мураббаъҳои оддиро ба тарзи матритса меомӯзонем. Ин усул яке аз муҳимтарин воситаҳои иқтисодсанҷӣ мебошад, ки дар таҳлили маълумотҳо нақши муҳим мебозад. Агар хоҳед, ки дар иқтисодсанҷӣ ва таҳлилҳои пешрафта ҳунарманди ҳақиқӣ шавед, ин видеоро тамошо кунед ва ба канали мо обуна шавед!

SajjadFreelance
40.1 ҳазор Боздид 11 моҳ пеш

Дар ин видео, мо ба шумо нишон медиҳем, ки чӣ гуна навъи матритсаро муайян кардан мумкин аст бо истифода аз теоремаи Силвестер. Маълумоти муфид ва фаҳмо барои донишҷӯёни математика ва ҳавасмандони илм! Бо мо бошед, то дарк кунед, ки чӣ гуна ин теорема дар таҳлили матритса истифода мешавад. Аз фаҳмиши амиқи математика лаззат баред ва ба худ бовар кунед!

NikDars
18.5 ҳазор Боздид 1 сол пеш

Ба ҷаҳони матритсаҳо қадам гузоред бо ин курси ройгони оғозӣ аз Академияи Нек Дарс! Барои онҳое, ки мехоҳанд аз математика сар карда, ба сатҳи нав бирасанд, ин видеоро аз даст надиҳед. Омӯзиши интерактивӣ ва фаҳмо барои ҳамаи синну солҳо. Пас, ҳоло оғоз кунед ва дар математика қадамҳои аввалинро гузоред!

saminlearn1
93.9 ҳазор Боздид 3 ҳафта пеш

Ҳисобкунии нархи тилло бо як қадам! Роботи донои мо ба шумо имкон медиҳад, ки нархи тилло онлайнро бо эътимод ва дақиқ ҳисоб кунед. Барои маълумоти бештар ва истифодаи осон, ба мо ҳамроҳ шавед!

tadbirnetwork
82 ҳазор Боздид 11 моҳ пеш

Дар ин видео, мо ба шумо нишон медиҳем, ки чӣ тавр аввалин лоиҳаи барномасозии худро бо истифода аз B4A оғоз кунед. Мо як мошини ҳисобкунии соддаро месозем, ки ба шумо барои фаҳмидани асосҳои барномасозӣ кӯмак мекунад. Ин видео барои онҳое, ки нав ба барномасозӣ шурӯъ мекунанд, хеле муфид аст!

ThermoSoft
78.9 ҳазор Боздид 5 сол пеш

Дар ин видёо, мо фаҳмондаем, ки чӣ гуна бо ТермоСофт ба осонӣ ва зуд фанкойл-ро ҳисоб кунем. Агар мехоҳӣ дар бораи таҷҳизоти механикӣ ва ҳисобкунии онҳо инфо гирӣ, ин видёо маҳз барои тӯст! Биё ва тачрибаи худро боз ҳам қавитар кун. Фақат як маротиба бинӣ, кайф мекунӣ!

irannsecurity
61.5 ҳазор Боздид 6 моҳ пеш

Дар ин видео, мо ба шумо нишон медиҳем, ки чӣ тавр функсияи ҳисобкунии одамонро дар камераи назоратии худ фаъол созед. Бо ёрии ин технология, шумо метавонед назорат ва бехатарии беҳтарро таъмин кунед. Тамошо кунед ва қадам ба қадам омӯзед!

riaziu.ir
51.2 ҳазор Боздид 1 сол пеш

Дар ин видео, мо ба шумо нишон медиҳем, ки чӣ тавр арзиши мутлақро фаҳмидан ва ҳисобкунии тахминиро дар риёзии синфи 9 анҷом диҳед. Агар шумо мехоҳед, ки дарсҳои риёзии худро беҳтар кунед ва арзиши мутлақро дарк кунед, ин видеоро тамошо кунед!

DouranAcademy
17.3 ҳазор Боздид 7 моҳ пеш

Дар ин вебинар мо ба ҷаҳони ҳисобкунии абрӣ ғарқ мешавем! Қисми аввал шуморо бо асосҳои ин технология шинос мекунад. Ҳатман тамошо кунед ва бубинед, ки чӣ гуна он метавонад тиҷорати шуморо тағйир диҳад! Барои маълумоти бештар ба канали мо обуна шавед.

oryoie
61.5 ҳазор Боздид 1 сол пеш

Дар ин видео мо синфи 18 аз иқтисодсанҷиро идома медиҳем, ки дар он мо ба таҳлили матритсавии варианси зарибҳо мебардозем. Ба таври осон ва фаҳмо ба шумо нишон медиҳем, ки чӣ гуна ин мафҳумҳои мураккабро дарк намоед. Ҳатман тамошо кунед, агар мехоҳед дар ин мавзӯъ дониши амиқ пайдо кунед!

classcoding
59.3 ҳазор Боздид 10 моҳ пеш

Дар ин видео нишон медиҳем, ки чӣ тавр бо ёрии numpy матритса ё массиви пур аз сифр созед! Агар навкорӣ ё мехоҳед коднависии осонро ёд гиред, ин видеоро аз даст надиҳед. Фаҳмонда медиҳем, ки zeros чӣ кор мекунад ва кай ба кор меояд. Барои мисолҳои ҷолиб ва истифодаҳои амалӣ, якҷоя бинед ва саволҳоятонро нависед!

mag.lab
49.7 ҳазор Боздид 1 моҳ пеш

Дар ин қисми сеюми силсилаи омӯзишии NumPy мо ба шумо нишон медиҳем, ки чӣ гуна метавонед усулҳои касбии сохтани массив ва матритсаҳоро истифода баред. Ба забони содда ва фаҳмо, мо ба шумо тавсияҳо ва маслиҳатҳои амалӣ медиҳем, ки ба сатҳи навбатии дониши NumPy расед. Агар мехоҳед дар таҳлили додаҳо ва барномасозии илмӣ пешравӣ кунед, ин видео барои шумо аст!

etemadzadeh
42.6 ҳазор Боздид 1 сол пеш

Дар ин видео, мо ба шумо аввалин дарси матритсаҳоро нишон медиҳем. Биёед ба ҷаҳони ҷолиби математика ғарқ шавем ва дарк кунем, ки чӣ тавр матритсаҳо ба мо дар зиндагии ҳаррӯза ёрӣ мерасонанд. Барои фаҳмиши хуб ва осон, видеоро то охир тамошо кунед!

taap1_com
90.4 ҳазор Боздид 1 сол пеш

Дар ин видео, мо формулаҳои ҳисобкунии DPBP ва PBP-ро меомӯзем. Ба ҷаласаи панҷоҳу якуми мо ҳамроҳ шавед, то дар бораи ин мафҳумҳои муҳим маълумоти бештар гиред. Агар дар ҷустуҷӯи донишҳои амиқ дар бораи сармоягузорӣ ҳастед, ҳатман ин видеоро тамошо кунед!

gamcenter_ir
62.9 ҳазор Боздид 1 сол пеш

Дар ин видео, мо хатогиҳои ҳисобкунии Исроилро баррасӣ мекунем ва дар бораи қудрати аҷиби миллати Эрон суҳбат мекунем. Биёед бо ҳам ба ин мавзӯъ назар андозем ва бубинем, ки чӣ гуна қудрати як миллат метавонад дар баробари хатогиҳои бузург истодагарӣ кунад. Ин фурсатро аз даст надиҳед!

saga_net
29.9 ҳазор Боздид 10 моҳ пеш

Ин видео як намунаи олиҷаноби таҳрирро пешниҳод мекунад, ки бо идеяҳои нав ва эҷодӣ ҳамроҳ аст. Мо ба шумо ҳисобкунии чаппаи рӯнамоии бузургро пешниҳод менамоем, ки дар он ҳавопаймои Сухой 35 ва мушаки ултрасадоӣ нақши калидӣ мебозанд. Ин фурсатро аз даст надиҳед ва тамошо кунед!

bird971317
3.1 ҳазор Боздид 1 сол пеш

Ба ҳама дӯстдорони савдои крипто! Дар ин видео, мо ба шумо нишон медиҳем, ки чӣ тавр аз мошини ҳисобкунии фючерс дар биржаи Bitunix истифода баред. Агар шумо навкор бошед ё хоҳед, ки донишатонро такмил диҳед, ин видео барои шумост! Қадам ба қадам роҳнамоии мо шуморо ба тарафи муваффақият мебарад.

Atiyeh_Zahed
57.3 ҳазор Боздид 10 моҳ пеш

Дар ин видео, мо ба шумо нишон медиҳем, ки чӣ гуна матритсаи махсусро истеҳсол кунед. Пас агар шумо мехоҳед дар бораи ин раванд бештар маълумот пайдо кунед ва дар бораи техникаҳои беҳтарини истеҳсоли матритсаи махсус омӯзед, бигзоред ин видео барои шумо як роҳнамои комил бошад!