mdhasangame
52.4 ҳазор Боздид 1 сол пеш

Фаҳмиши осони ҷамъ ва тарҳ. Дар ин видео мо тарзҳои осон ва тезтарини ҷамъ ва тарҳро мебинем. Бо мо омӯз ва ба дараҷаи навбиёнаро гузар. Барои гирифтани маълумоти бештар ва фаҳмиши равшан дар бораи математика, обуна шавед!

TheTeacher
45 ҳазор Боздид 1 сол пеш

Дар ин видео, мо ба ҷамъ ва тарҳи саҳифаи 24 китоби риёзиёти синфи 2 бо Ҳомид Ганҷи назар мекунем. Агар мехоҳед, ки фаҳмиши худро дар ҷамъ ва тарҳ беҳтар кунед, ҳатман бо мо ҳамроҳ шавед. Видеоҳои омӯзишии бештарро дар канали мо бинед ва аз ёд гирифтани риёзиёт лаззат баред!

mahdishamsaei
99.6 ҳазор Боздид 1 сол пеш

Дарси нав барои синфи 9! Мо ҷамъ ва тарҳ кардани радикалҳоро ёд мегирем. Ин видео барои касоне аст, ки мехоҳанд малакаҳои риёзии худро беҳтар кунанд. Ҳарфи навро омӯхтан мехоҳед? Пас ин видеоро аз даст надиҳед! #Риёзи9

TheTeacher
96.6 ҳазор Боздид 1 сол пеш

Дар ин видео, мо ба ҳалли масъалаҳои ҷамъ ва тарҳ кардани ададҳои дурақама дар саҳифаи 31 китоби риёзии синфи 2 бо Ҳомид Ганҷӣ машғул мешавем. Биёед бо ҳамдигар ба осонӣ ва бо шавқ ин мавзуъро омӯзем! Барномаҳоро дар ёд гиред ва малакаҳои худро такмил диҳед!

TheTeacher
94.2 ҳазор Боздид 1 сол пеш

Мо дар ин видео ба саҳифаи 28 китоби риёзии синфи 2 назар мекунем, ки дар он ҷамъ ва тарҳ кардани ададҳои ду рақама омӯзонида мешавад. Ин дарс барои онҳое, ки мехоҳанд малакаҳои худро дар математика такмил диҳанд, бисёр муфид хоҳад буд. Ба мо ҳамроҳ шавед ва осон омӯхтани риёзиро таҷриба кунед!

Mr_Rahmati
85.2 ҳазор Боздид 1 сол пеш

Дар ин видео, мо ба шумо таълим медиҳем, ки чӣ гуна радикалҳоро дар риёзии синфи 9 ҷамъ ва тарҳ карда метавонед. Биёед бо мо ба ҷаҳони ҷолиби радикалҳо ғарқ шавед ва бо усулҳои осон ва фаҳмо ба муваффақият ноил шавед. Барои гирифтани маълумоти бештар ва дарсҳои нав, ба канали мо обуна шавед!

TheTeacher
77 ҳазор Боздид 1 сол пеш

Дар ин видео, омӯзиши саҳифаи 23 аз китоби риёзии синфи 2-ро бо Ҳомид Гаҷнӣ тамошо кунед. Мо бо усулҳои осони ҷамъ ва тарҳ шинос хоҳем шуд. Агар мехоҳед дарси риёзии худро беҳтар кунед, ин видеоро аз даст надиҳед!

agha_ejaze
72.3 ҳазор Боздид 1 сол пеш

Дар ин видео, мо ба шумо тамоми сирру асрори риёзи синфи чорумро нишон медиҳем. Саҳифаи 29-ро бо мо омӯзед ва дар масъалаҳои каср, ҷамъ ва тарҳ маҳорат пайдо кунед. Ба мо ҳамроҳ шавед, то ба осонӣ ин мавзӯъҳоро фаҳмед ва дар мактаб бартарӣ пайдо кунед!

agha_ejaze
71.8 ҳазор Боздид 1 сол пеш

Дар ин видео, мо ба шумо тафсилиёти риёзии синфи чор дар мактабро мефаҳмонем. Саҳифаи 31-ро бо баррасии касрҳо, ҷамъ ва тарҳ дида мебароем. Бо мо бошед, то фаҳмиши амиқи ин мавзӯъро пайдо кунед!

Mahlouji.6
68.5 ҳазор Боздид 1 сол пеш

Маъқул шавад, ки машқҳои саҳифаи 27-и китоби риёзии синфи шашумро бо мо ҳал кунед! Дар ин видео, мо ба шумо ёд медиҳем, ки чӣ гуна касрҳоро ҷамъ ва тарҳ кунед. Ба мо ҳамроҳ шавед ва ба осонӣ аз ин мавзӯъ гузаред. Барои фаҳмиши беҳтар, вазифаҳоро ба таври амалӣ иҷро мекунем. Ин видеоро тамошо кунед ва ба осонӣ ба имтиҳонҳо омода шавед!

agha_ejaze
67.8 ҳазор Боздид 1 сол пеш

Дар ин видео, мо ба шумо дарси муфассал ва осони риёзи синфи чорумро пешкаш мекунем. Мо саҳифаи 30-ро аз китоб барои фаҳмонидани касрҳо, ҷамъ ва тарҳ дар мактаби ибтидоӣ таҳлил мекунем. Биёед якҷоя бо мо шурӯъ кунем ва ин мавзӯъҳоро ба осонӣ фаҳмем!

Samatfilm
67.3 ҳазор Боздид 1 сол пеш

Мехоҳед дар ҷамъ ва тарҳ кардани касрҳо усто шавед? Дар ин видео, устод Шокирян ба шумо тамоми сирҳои осон кардани ин мавзӯъро нишон медиҳад. Барои онҳое, ки мехоҳанд риёзиро осон омӯзанд, ин видео як ганҷина аст! Тамошо кунед ва бо мо дарсҳои шавқовар ва фаҳмо бигиред.

Mehrriazi_orginal
63.1 ҳазор Боздид 1 сол пеш

Дар ин видео мо ҷамъ ва тарҳ кардани ададҳои бутунро барои синфи ҳафтум меомӯзем. Ба мо ҳамроҳ шав, то бо усулҳои осон ва тез дар реш кардани мисолҳои математикӣ шинос шавем. Агар мехоҳӣ дар математика беҳтар шавӣ, ин видео барои ту аст!

MyOnlineSchool
62 ҳазор Боздид 1 сол пеш

Дар ин видео, мо ба шумо нишон медиҳем, ки чӣ тавр касрҳоро баробар кунем, ҷамъ ва тарҳ кунем, ва онҳоро муқоиса намоем. Инчунин, мо масъалаҳои гуногуни касрҳоро дар саҳфаи 37 китоби риёзии синфи 4 мебинем. Инро аз даст надиҳед, то ба осонӣ дарсҳои риёзиро фаҳмед ва баҳравар шавед!

TheTeacher
61.6 ҳазор Боздид 1 сол пеш

Дар ин видео, мо бо Ҳомид Ганҷи ба саҳифаи 29 китоби риёзии синфи 2 назар меандозем. Мо ҷамъ ва тарҳ кардани ададҳои ду рақамаро меомӯзем, ки ин мавзӯъ барои асоси риёзӣ хеле муҳим аст. Барои фаҳмидани бештар ва гирифтани маълумоти бештар, ин видеоро то охир тамошо кунед!

adel.teach
52.7 ҳазор Боздид 1 сол пеш

Дар ин видео мо ҳама чизро дар бораи ҷамъ ва тарҳ намудани касрҳо ва ададҳои омехта ба шумо нишон медиҳем. Агар шумо ҳамеша ба ин мавзӯъ мушкилӣ доштед, ин видео барои шумо аст! Бо тариқи осон ва фаҳмо, тарзи дурусти ҳисобкунӣ ва роҳҳои осон кардани ин равандро меомӯзем. Пас, интизор нашавед ва бо мо ҳамроҳ шавед, то дар математика беҳтар шавед!

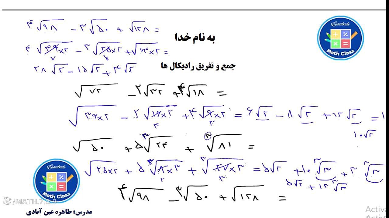
MATH.7.8.9
51.3 ҳазор Боздид 1 сол пеш

Дар ин видео мо ба шумо тарзи ҷамъ ва тарҳ кардани радикалҳоро нишон медиҳем. Ба осонӣ ва зуд фаҳмед, ки чӣ тавр ин амалҳоро иҷро карда метавонед. Агар мехоҳед дониши худро дар ин мавзӯъ баланд бардоред, ҳатман ин видеоро тамошо кунед!

mohsensharifi_original
51.1 ҳазор Боздид 1 сол пеш

Дар ин видео мо машқҳои саҳифаи 31 аз китоби математикаи синфи 5-ро баррасӣ мекунем. Мо ҷамъ ва тарҳ кардани ададҳои омехтаро меомӯзем. Биёед якҷоя ҳалли машқҳоро омӯзем ва саводамонро беҳтар кунем! Агар шумо ҳамеша бо ин масъалаҳо мушкил дошта бошед, ин видео барои шумост!

SaraMostafaeiAcademy
46.1 ҳазор Боздид 1 сол пеш

Мехоҳед саҳифаи 20-и китоби математикаи синфи 7-ро ба осонӣ фаҳмед? Дар ин видео, бо роҳнамоии Сара Мустафоӣ, ҷамъ ва тарҳ кардани ададҳои саҳеҳро якҷоя меомӯзем ва ҳама саволҳоро ҳал мекунем! Барои фаҳмиши беҳтар ва гирифтани баҳои аъло дар имтиҳони навбатӣ, тамошо кунед!

Kumehgh
41.8 ҳазор Боздид 1 сол пеш

Дар ин видео, мо ба шумо роҳи осони ҷамъ ва тарҳ кардани касрҳоро нишон медиҳем. Агар шумо ҳамеша дар ин мавзӯъ мушкилӣ доштед, пас ин видео барои шумост! Бо мо омӯзед ва касрҳоро ба осонӣ ҳал кунед. Биёед бо ҳам фаҳмем, ки чӣ гуна ин корро бе мушкилӣ анҷом диҳем!